문제링크
https://school.programmers.co.kr/learn/challenges/training?order=recent&languages=java
코딩 기초 트레이닝 | 프로그래머스 스쿨
프로그래밍 언어를 처음 접하거나 프로그래밍 언어에 익숙해지고 싶다면? 코딩 역량을 탄탄하게 길러주는 코딩 기초 트레이닝으로 차근차근 코딩에 대한 기초 감각을 길러 보세요.
school.programmers.co.kr
문제설명

제한사항

입출력 예

풀이
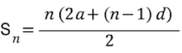
- num을 항의 개수로 생각하고, total을 등차수열의 합으로 생각한다.
- 공차는 연속된 수이므로 1이다.
- 첫째항을 구하면 되는데 이 것은 등차수열의 합 공식을 이용한다.

- 위의 식을 변형하면 첫째항 a를 구하는 식은 다음과 같다.
// 첫번째 항 구하기 (등차수열의 합 공식 이용)
int a1 = total/num - (num-1)/2;
class Solution {
public int[] solution(int num, int total) {
int[] answer = new int[num];
// 첫번째 항 구하기 (등차수열의 합 공식 이용)
int a1 = total/num - (num-1)/2;
// System.out.println(a1);
for(int i=0; i<num; i++) {
answer[i] = a1+i;
}
return answer;
}
}'Java > 프로그래머스' 카테고리의 다른 글
| [프로그래머스 Lv.0] 옹알이(1) (0) | 2023.06.27 |
|---|---|
| [프로그래머스 Lv.0] 수열과 구간 쿼리 3 (0) | 2023.06.01 |
| [프로그래머스 Lv.0] 등차수열의 특정한 항만 더하기 (1) | 2023.06.01 |
| [프로그래머스 Lv.0] 코드 처리하기 (0) | 2023.05.24 |
| [프로그래머스 Lv.0] 조건 문자열 (0) | 2023.05.24 |